Have you ever wondered how Excel calculates that nice trend line in your not so perfect data? I’m guessing not and that you take it for granted, and hand in reports without actually knowing the statistics and mathematics in the background. Below I detail how this works and give a worked example in Excel.
When gathering data we usually gather the data based on dependent and independent variables. X is usually the independent variable and y is usually the dependent variable. What we can do is take these x and y values and plot them against each other and generate a graph.
And generate something like this:
Now it’s clear we can see a pattern here. But how do we put a line over these values so that all points are considered equally? Well the answer is that we often use “least squares” fit.
The function of the best fit line to fit each datum:![]()
Thus we can consider the difference between the line and each datum:![]()
For real data it could be either positive or negative. Because it may be negative we have to square it. Hence the “least squares” fit. When we sum all of these we can find a minimum for the line of best fit. We then normalise each datum by its uncertainty σi.
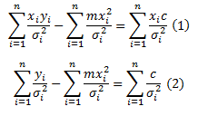
From this we can generate 2 simultaneous equations:
These can be easily solved by some matrix manipulation:
So now we have covered that we are going to look at how it can be applied.
I am going to use the first graph as an example. In Excel I am going to tabulate up values and from this calculate all the values required. 
From above we can see that the line of least squares should be y=1.042424x+1.666667. Plotting this with the initial line gives the below:




